本次加拿大代写是一个微积分的小作业
In this mini-project, you will use concepts from the course to analyze an applied problem. Please provide complete solutions (show all your work). Your solutions should be in the form of a typed write-up, with complete sentences, that describes your calculations and discusses your findings. You should provide sufficient detail such that your write-up is understandable to a classmate who has not done the project. The quality and clarity of your intermediate calculations and discussion will impact your grade.
Please prepare your write-up electronically (Word, LaTeX, etc.; for LaTeX, consider using www.overleaf.com). When including mathematical statements, please avoid using crude text approximations (e.g. use x2 instead of x^2 and p2 instead of sqrt(2)). I will provide a LaTeX template to get you started. Save your write-up as a PDF and submit it on Crowdmark.
Support for writing can be accessed at the Writing and Communication Centre.
In uid mechanics, the circulation around a curve C is defined as

where u(x) is the velocity of the uid at position x. When C is a closed curve, quanties how much the uid is owing around C. Circulation is useful for studying vortices, like hurricanes and tornadoes, and other rotational ows.
Consider the following two velocity fields:
A. ow into a drain:

where a > 0 is a constant.
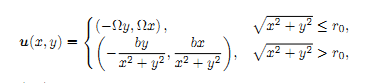
B. vortex:

where r0 > 0, , b are constants.
1. Assume that the vortex (B) velocity u is continuous. What does this imply about the constants , b, and r0?
2. Sketch the field portrait of A and B.
3. The field portrait illustrates the direction of u but not its magnitude, i.e. the speed of the uid. How does the uid speed depend on the distance from the origin in A and B?
4. For A and B, compute the circulation around the following 2 curves. Assume positive orientation.
Discuss your ndings. Be sure to mention the behaviour of u(g(t)) g0 (t) on each part of the curve.