这是一篇香港的统计限时测试统计代写,以下是作业具体内容:
Question 1 (Past Exam 2010 – 2011)
(a) Consider a simple regression model
𝑌𝑖 = 𝛼 + 𝛽(𝑥𝑖 − 𝑥̅) + 𝜀𝑖, 𝑖= 1,2, … , 𝑛,
where 𝜀𝜀1, 𝜀𝜀2, … , 𝜀𝜀𝑛𝑛 are mutually independent mean-zero normal random variables with a common variance 𝜎𝜎2. All 𝑥𝑥1, 𝑥𝑥2, … , 𝑥𝑥𝑛𝑛 are fixed values.
(i)Find the maximum likelihood estimators 𝛼̂ and 𝛽̂ of 𝛼 and 𝛽 respectively.
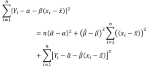
(ii) Show that

(iii) Compute the covariance of 𝛼2 and 𝛽3.
(b) Using the Instron 4206, rectangular strips of plexi-glass were stretched to failure in a tensile test. The following data give the change in length, in 𝑚𝑚, before breaking (𝑥) and the crosssectional area in 𝑚𝑚2 (𝑌):
(5.28, 52.36), (5.40,52.58), (4.65,51.07), (4.76,52.28), (5.55,53.02),
(5.73, 52.10), (5.84,52.61), (4.97,52.21), (5.50,52.39), (6.24,53.77)
Find the equation of the least square regression line. Also construct a twosided 95% confidence interval for the slope of the regression line.
Question 2 (Past Exam 2010 – 2011)
(a) Let 𝑌 be a binomial random variable Bbinomial(100, 𝑝𝑝). To test 𝐻0: 𝑝 =0.08 against 𝐻1: 𝑝 < 0.08, we reject 𝐻0 and accept 𝐻1 if an only if 𝑌 ≤ 6.Determine the significant level 𝛼 of the test. Also find the probability of the Type II error if in fact 𝑝 = 0.04.
(b) In a college health fitness program, let 𝑋𝑋 equal the weight in kilograms of a female freshman at the beginning of the program and let 𝑌 equal her change in weight during the semester. Assume that 𝑋 and 𝑌 follow a bivariate normal distribution. Use the following data for 𝑛 = 16 observations of (𝑥𝑥, 𝑦𝑦) to test the null hypothesis 𝐻0: 𝜌 = 0 against a twosided alternative hypothesis:
(61.4, −3.2), (62.9,1.4), (58.7,1.3), (49.3, 0.6),
(71.3,0.2), (81.5, −2.2), (60.8, 0.9), (50.2, 0.2),
(60.3,2.0), (54.6,0.3), (51.1, 3.7), (53.3, 0.2),
(81, −0.5), (67.6, −0.8), (71.4, −0.1), (72.1, −0.1).
(c) Let 𝑋 equal the distance between bad records on a used computer tape.Letting 𝛼 = 0.05 and taking 𝑥= 42.2 as an estimate of 𝜃 , use the following 90 observations of 𝑋 and 10 classes of equal probability to test the hypothesis that the distribution of 𝑋 is exponential with mean 𝜃:
30, 79, 38, 47, 22, 52, 36, 36, 7, 57,
3, 22, 30, 14, 8, 32, 15, 21, 12, 12,
6, 67, 6, 7, 35, 78, 28, 74, 5, 9,
37, 1, 3, 3, 44, 160, 50, 27, 61, 15,
39, 44, 130, 18, 6, 1, 32, 116, 23, 12,
58, 101, 68, 53, 58, 21, 21, 7, 79, 41,
80, 33, 71, 81, 17, 10, 13, 49, 21, 56,
107, 21, 17, 64, 14, 36, 26, 1, 54, 207,
64, 238, 25, 51, 82, 8, 2, 3, 43, 87